Abstract
BACKGROUND: Hairy cell leukemia (HCL) is a rare lymphoid neoplasm with an incidence of 1,000 new cases per year and accounting for 2% of all leukemias in the United States. There is a lack of data on the spectrum of second primary malignancies (SPMs) and cause-specific mortality in the era of targeted therapies (anti-CD20, anti-CD22, and BRAF-inhibitors). We undertook this study to address the gaps in knowledge using a national registry from the United States.
METHODS: We estimated the incidence of SPMs and cause-specific mortality among two-month survivors of hairy cell leukemia (HCL) using the National Cancer Institute's Surveillance, Epidemiology, and End Results (SEER)-18 registries. We included patients from 2003-2018 with ICD-O-3 code 9940/3 from the registry. We calculated the risk of SPMs using standardized incidence ratios (SIRs), and cause-specific mortality by standardized mortality ratios (SMRs) and absolute excess risk (AER)/10,000 population. We also reported survival analysis using relative survival rates (RSRs). RSR was calculated as ratio of observed to expected survival compared to the 2000 US standard population and adjusted for age, sex, and race. Overall survival (OS) analysis was reported using Kaplan-Meier (KM) method.
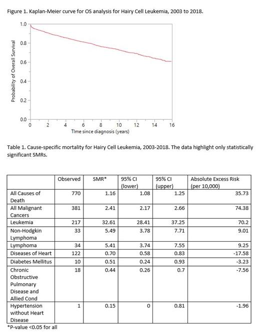
RESULTS: We included a total of 4,261 patients with Hairy cell leukemia in this study. The median age at diagnosis was 59 yrs (range 21-85). The median follow-up duration for entire cohort was 68 months (range 0-191 mo). A total of 538 (12.6%) patients developed SPMs at last follow-up, of which 75% were solid organ malignancies, and 25% were hematologic neoplasms. The SPM risk for cohort was significantly elevated (SIR 1.33, 95% confidence interval [CI] 1.22 - 1.45) compared with the general population. The median latency period for SPM development was 3 yrs (range 1-15 yrs). The SPM risk was statistically higher than general population among Whites with HCL (SIR 1.33, 95% CI 1.22 - 1.45), but not significant among Blacks (SIR 1.31, 95% CI 0.76 - 2.09). The SIR was slightly higher in females (SIR 1.39, 95% CI 1.12 - 1.71) when compared to males (SIR 1.32, 95% CI 1.20 - 1.45). The SIR according to age groups were as follows: age < 65 years (SIR 1.36, 95% CI 1.21 - 1.52), age > 65 years (SIR 1.31, 95% CI 1.15 - 1.48). The risk for hematopoietic SPMs was higher (SIR 2.82, 95% CI 2.31 - 3.41) compared with solid organ tumors (SIR 1.16, 95% CI 1.05 - 1.28). Specific SPMs with highest risk included non-epithelial skin cancers (SIR 5.20, 95% CI 2.59 - 9.30), Hodgkin lymphoma (SIR 4.68, 95% CI 1.52 - 10.91), non-Hodgkin lymphoma [NHL] (SIR 3.91, 95% CI 3.04 - 4.95), myeloid and monocytic leukemia (SIR 2.23, 95% CI 1.15 - 3.90), melanoma (SIR 1.60, 95% CI 1.12 - 2.20), and prostate cancer (SIR 1.45, 95% CI 1.21 - 1.72). Although the risk of developing secondary NHL was significantly high throughout the follow-up period, risk for Hodgkin lymphoma was only significant >10 yr of follow-up (SIR 9.71, 95% CI 1.18 - 35). 5-year RSR for the cohort was 94.6%. On KM analysis, the mean OS for entire cohort was 11.8 yr, but the median OS was not reached (Figure 1). At last follow-up, 770 (18%) patients had died, of which 49% were due to malignant neoplasms. There was statistically significant risk of mortality due to all malignant cancers combined (SMR 2.41, 95% CI 2.17 - 2.66), largely due to mortality from leukemia (SMR 32.62, 95% CI 28.41 - 37.25, AER 70.2) and NHL (SMR 5.49, 95% CI 3.78 - 7.71, AER 9.01) (Table 1). Interestingly, risk of mortality from non-neoplastic causes was lower than general population: cardiovascular disease (SMR 0.70, 95% CI 0.58 - 0.83), pulmonary diseases (SMR 0.44, 95% CI 0.26 to 0.70), and infectious diseases (SMR 1.27, 95% CI 0.55 - 2.51). The risk of death from leukemia was highest within first year of diagnosis of HCL and continued to slowly decline thereafter, although remained statistically significantly elevated more than other causes of death (SMR 1yr 112, AER 214; SMR 1-5 yrs 36, AER 72; SMR 5-10 yrs 20, AER 43; SMR >10 yrs 17, AER 43).
CONCLUSION: Our study reveals that despite therapeutic advances in HCL, hematologic neoplasms (including leukemia) remain the leading cause of death in last two decades. Additionally, the risk of developing SPMs remains elevated in patients with HCL, and is significantly high in Whites compared with Blacks. Further studies are needed to better define the healthcare needs of HCL patients beyond initial treatment to reduce the burden of mortality from HCL and other SPMs.
Narkhede: Gilead: Research Funding; Genentech/Roche: Research Funding; Genmab: Other: Medical writing support, Research Funding; TG Therapeautics: Research Funding.

This feature is available to Subscribers Only
Sign In or Create an Account Close Modal